ЕГЭ математика 2 задание. Вектора

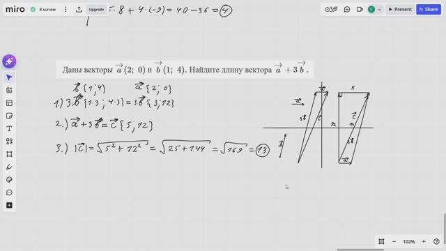
Разбираем задание типа 2 ЕГЭ по математике. Здесь примеры на векторы, их суммы, длины и скалярные произведения. Теория подробно объясняется в начале видео

12+
11 просмотров
3 дня назад
12+
11 просмотров
3 дня назад

Разбираем задание типа 2 ЕГЭ по математике. Здесь примеры на векторы, их суммы, длины и скалярные произведения. Теория подробно объясняется в начале видео

, чтобы оставлять комментарии