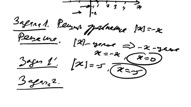
10-11 класс. Целая и дробная часть числа

12+
48 просмотров
7 месяцев назад
12+
48 просмотров
7 месяцев назад

, чтобы оставлять комментарии